Skilgreiningar
Viðmiðunarvísitölur
Sem dæmi má nefna að ef fjárfestir kaupir íslensk hlutabréf væri tilsvarandi viðmiðunarvísitala Aðalvísitala eða Úrvalsvísitala OMX Kauphallar Íslands (OMXI8) og myndi fjárfestirinn því miða ávöxtun eigin hlutabréfasafns við vísitölu Verðbréfaþingsins. Mikilvægt er að viðmiðunarvísitala hvers verðbréfasafns sé valin í samræmi við þá fjárfestingarstefnu sem fjárfestirinn hefur ákveðið. Hafi fjárfestirinn t.a.m. ákveðið að fjárfesta í blöndu af bandarískum skuldabréfum (30%), bandarískum hlutabréfum stórfyrirtækja (40%) og íslenskum hlutabréfum (30%) er nauðsynlegt að velja viðmiðunarvísitölu fyrir hvern flokk verðbréfa. Hver fjárfestir verður því að sérsníða eigin viðmiðunarvísitölu miðað við eigin fjárfestingarstefnu.Taka verður tillit til áhættu
Árangur við ávöxtun hlutabréfasafnsins segir þó ekki alla söguna því taka verður tillit til áhættunnar sem felst í safninu. Fjölmargar aðferðir hafa verið þróaðar til að meta árangur verðbréfasafna að teknu tilliti til áhættu. Einn algengasti mælikvarðinn við slíkt mat er áhættuleiðrétt ávöxtun, t.a.m. Sharpe-hlutfall, Treynor-hlutfall og alpha. Annar mælikvarði er hvort verðbréfasafnið fylgi viðmiðunarvísitölunni á viðunandi hátt, þ.e. hvort safnið sé að sveiflast meira eða minna en viðmiðunarvísitalan. Slíkt má meta með mismunandi stærðum, m.a. beta gildi og fylgni. Einnig er oft áhugavert að kanna hvort ávöxtun safnsins sé mjög breytileg frá ávöxtun viðmiðunarvísitölunnar en slíkt er gjarnan metið með fráviki (e. tracking error).1. Ávöxtun
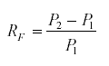
Ávöxtun frá tíma t1 til tíma t2 er reiknuð á eftirfarandi hátt: 
þar sem P1 er verð safnsins á tíma t1, P2 er verð safnsins á tíma t2 og RF er ávöxtun safnsins. Miðað er við að engar inn- eða útgreiðslur eigi sér stað á tímabilinu.
2. Ávöxtun miðað við viðmiðunarvísitölu
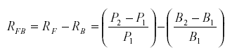
Ávöxtun miðað við viðmiðunarvísitölu frá tíma t1 til tíma t2 er reiknuð á eftirfarandi hátt:
þar sem P1 er verð safnsins, B1 er verð viðmiðunarvísitölunnar á tíma t1, P2 er verð safnsins, B2 er verð viðmiðunarvísitölunnar á tíma t2 og RFB er ávöxtun safnsins að frádreginni ávöxtun viðmiðunarvísitölunnar. Ef RFB er stærra en 0, gefur það til kynna að ávöxtun safnsins hafi verið umfram ávöxtun viðmiðunarvísitölunnar. Miðað er við að engar inn- eða útgreiðslur eigi sér stað á tímabilinu.
3. Value-at-Risk (VaR)
VaR gefur til kynna líkur á tapi vegna breyttra markaðsaðstæðna. VaR er ekki svar við spurningunni: Hversu mikið get ég tapað yfir gefið tímabil? Árlegt VaR er fengið með því að vega daglegt VaR á ársgrundvelli.
Dæmi:
84,1% árlegt VaR er 10,5%. Þetta þýðir að það eru 84,1% líkur á að ávöxtun safnsins verði -10,5% eða betri á ársgrundvelli. Eða með öðrum orðum, það eru 15,9% líkur á að 10,5% af sjóðnum tapist á einu ári.
4. Relative Value-at-Risk (RvaR)
RvaR gefur til kynna líkur á tapi umfram viðmiðunarvísitöluna. Líkt og VaR er RvaR ekki svar við spurningunni: Hversu mikið get ég tapað yfir gefið tímabil miðað við viðmiðunarvísitöluna? Árlegt RVaR er fengið með því að vega upp daglegt RVaR á ársgrundvelli.
Dæmi:
84,1% árlegt RvaR er -4,5%. Þetta þýðir að það eru 84,1% líkur á að ávöxtun safnsins miðað við ávöxtun viðmiðunarvísitöluna verði -4,5% á ársgrundvelli. Eða með öðrum orðum, það eru 15,9% líkur á að 4,5% af ávöxtun sjóðnum tapist miðað við ávöxtun viðmiðunarvísitölunnar.
5. Flökt
Fjölmargar aðferðir hafa verið þróaðar til að meta flökt hlutabréfa og hlutabréfasafna. Einfaldasta leiðin til að meta flökt er að taka einfalt staðalfrávik af ávöxtun safnsins
þar sem RF er ávöxtun safnsins, er meðaltal ávöxtunar safnsins og N er fjöldi mælinga.
6. Beta
Beta er mælikvarði á sveiflum safnsins með tilliti til viðmiðunarvísitölunnar: 
þar sem RF er ávöxtun safnsins, RB er ávöxtun viðmiðunarvísitölunnar og N er fjöldi gilda. Ef beta er stærri en 1,0 bendir það til þess að flökt í ávöxtun safnsins sé stærri en flökt í ávöxtun viðmiðunarvísitölunnar.
7. Alpha
Alpha er mælikvarði á ávöxtun umfram viðmiðunarvísitölu að teknu tilliti til áhættu sem skilgreind er með ß. Alpha er reiknað á ársgrundvelli sem: 
.gif)
þar sem er ávöxtun safnsins og er ávöxtun viðmiðunarvísitölunnar. ß er skilgreint hér að ofan.
Fleiri skilgreiningar eru til á alpha, m.a. þar sem alpha er mælt miðað við ß = 1, þ.e sem hrein ávöxtun umfram viðmiðunarvísitölu. Jafnframt er til skilgreining á alpha sem nefnd hefur verið Jensens-alpha og er reiknuð sem
þar sem RRFR er ávöxtun á peningamarkaði.
Ef alpha er stærra en 0 bendir það til þess að áhættuleiðrétt ávöxtun hafi verið umfram viðmiðunarvísitölu safnsins.
8. Sharpe hlutfall
Sharpe-hlutfallið er mælikvarði á ávöxtun að teknu tilliti til áhættu, þar sem áhættan er skilgreind sem staðalfrávik ávöxtunar safnsins. Mælikvarðinn var þróaður af nóbels-verðlaunahafanum William F. Sharpe og var fyrst settur fram árið 1966. Sharpe-hlutfall er reiknað á ársgrundvelli sem hlutfallið á milli umframávöxtunar (ávöxtun umfram t.a.m. millibankavexti) og staðalfráviks (flökts) safnsins:
þar sem RF er ávöxtun safnsins, RRFR er ávöxtun á peningamarkaði og
F er staðalfrávik ávöxtunar safnsins. Hærra Sharpe-hlutfall bendir til betri ávöxtunar að teknu tilliti til áhættu.
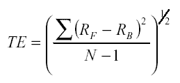
9. Frávik (e. tracking error)
Frávik er mælt út frá mismun ávöxtunar safnsins og ávöxtunar viðmiðunarvísitölunnar. Reiknað er eitt staðalfrávik af mismun ávöxtunar safnsins og ávöxtunar viðmiðunarvísitölunnar á ársgrundvelli. Frávik (TE) er reiknað sem
þar sem RF er ávöxtun safnsins, RB er ávöxtun viðmiðunarvísitölunnar og N er fjöldi mælinga.
10. Fylgni (e. correlation)
Fylgni er mælikvarði á hversu vel sveiflur í safninu fylgja eftir sveiflum í viðmiðunarvísitölunni. Fylgni er skilgreind sem
þar sem
FB er samfylgni milli safnsins og viðmiðunarvísitölunnar,
F er staðalfrávik ávöxtunar safnsins og
B er staðalfrávik ávöxtunar viðmiðunarvísitölunnar. Ef fylgni=1 fylgir safnið viðmiðunarvísitölunni fullkomlega.